1. 质点力学
1.1. 2016-2017 春夏期中【速度的合成】
当火车静止时,乘客发现雨滴下落方向偏向车头,偏角为 。当火车以 的速度水平行驶时,发现雨滴下落方向偏向车尾,偏角为 。假设雨滴相对于地的速度大小保持不变,则雨滴相对于车的速度大小为()。
留意题目表述,一个是“偏向车头”,一个是“偏向车尾”。 仔细读题
答案

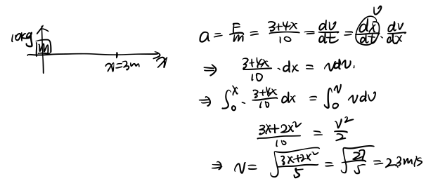
1.2. 习题 4-4【微积分的应用】
一质量为 的物体在合力 的作用下,沿 轴运动。该物体开始时静止在坐标原点,求该物体经过 时的速度。
通过 ,凑出微元 与 的关系。 主要思路
答案

1.3. 课件例题
一质量为 的橡皮球,向地板落下。它以 的速率和地板相撞,并近似地以相同的速率回跳起来。高速摄影测得球与地板相接触的时间为 。怎样描述地板作用于球上的力呢?重力加速度 取 。
由于球有质量 ,不要忘记考虑地面对球的支持力 ! 十分重要
答案


1.4. 课件例题【均匀物体的质心】
求腰长为 的等腰直角三角形均匀薄板的质心位置。
注意积分上界的选择。 细节
答案

1.5. 2020-2021 春夏期中【势能曲线】

势能曲线的极小值处是稳定平衡点,势能曲线的极大值处是不稳定平衡点。 知识点回顾
第一空:;第二空:。 答案
1.6. 2020-2021 春夏期中

考虑大炮和炮弹构成的整体,仅受到斜面对大炮的支持力。故整体动量沿斜面方向守恒(而不是沿水平方向)。 易错点
答案
1.7. 课件例题【动量守恒】
质量为 ,半径为 的四分之一圆弧形滑槽,原来静止光滑水平地面上,质量为 的小物体由静止开始沿滑槽从槽顶滑到槽底。求这段时间内滑槽移动的距离 。
答案


1.8. 课件例题
如图所示,若使邮件沿着地球的某一直径的隧道传递,试求邮件通过地心时的速率。已知地球的半径为 ,密度约为 。

对于 的运动(其中 为常数),可以类比到简谐振动。设 (这题中 ,正数也类似),可解出 重要思想
答案


1.9. 课件例题【微元法与一阶导数定义式的联系】
一质量为 ,长度为 的均质细杆,以匀角速度 绕固定轴旋转。设细杆不伸长,重力忽略不计,试求离固定端距离为 处的杆中的张力。
注意对积分边界条件的选择,这里 时有 ,而不是 时。 注意
答案



1.10. 课件例题
一根质量为 ,长度为 的链条,被竖直地悬挂起来,其最低端刚好与秤盘接触。现将链条释放并让它落到秤盘上,如图所示。求链条下落长度为 时,秤的读数是多少?

答案


1.11. 课件例题【微元法】

答案



2. 刚体力学
2.1. 2016-2017 春夏期中

首先记得对等式两边求导得到微元的形式,将相同变量移到同侧,不要出现低级计算错误! 注意细节
答案

2.2. 课件例题
质量为 的匀质圆盘,半径 ,可绕过盘中心且与盘面垂直的水平光滑轴转动,其上挂有质量 ,长为 的匀质柔绳。设绳与盘无相对滑动,求圆盘两侧绳长之差 时,绳的加速度。

这一问题中,软绳的摩擦力不可忽略。选用圆盘为研究对象,有 选用与盘接触的弧形绳为研究对象 两式相加,可得到一个与 无关的等式。如果把圆盘和弧形绳作为整体进行分析,则摩擦力 可视为内力,不需要考虑,即 做题思路
思考与分析


答案



2.3. 课件例题【打击中心问题】
如图所示,以水平力 打击悬挂在 点的刚体,打击点为 ,若打击点合适,则打击过程中,轴对刚体的切向力 为 ,称该点为打击中心。设刚体时长度为 的均匀细杆,求打击中心到轴的距离 。
分析绕 点的定轴转动: 将轴对刚体的力分解为切向与法向,分析质心的运动方程(这里只用讨论切向): 做题思路
答案



2.4. 2016-2017 春夏期中【组合体为刚体时的定轴转动问题】

本题中杆本身的质量可忽略,而组合体的质量分布在两个小球上,故实际上 。不要想当然地套用常见刚体的转动惯量公式。 转动惯量?
答案
